选择您的地区和语言

非隔离DC-DC转换器模块DC-DC转换器输出纹波电压的计算

就DC-DC转换器输出纹波电压的计算方法进行说明。

DC-DC转换器输出纹波电压的计算

纹波电压

假设纹波电流ΔIL全部流过输出电容器,则纹波电压ΔVo具体如下:

计算公式
Vrp
输出电容器的电容器产生的纹波电压[V]
Vesr
输出电容器的ESR产生的纹波电压[V]
形象图

电容器的容量产生的纹波电压

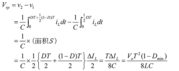
电容器的容量C产生的纹波电压Vrp具体如下:

计算公式
形象图

电容器的ESR产生的纹波电压

电容器的ESR产生的电压Vesr

计算公式

为了抑制ESR引起的纹波电压,如果并联连接ESR低的陶瓷电容器,Resr就会变小,可有效抑制纹波电压。

形象图