A
电磁蜂鸣器是利用内置的电磁线圈中流过的电流来驱动的,而压电声音元件是利用外加于压电陶瓷的电压来驱动的,因此与电磁蜂鸣器相比,具有消耗电流极小的特点。
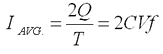
压电扩音器(他励型)的消耗电流(外围电路部分除外),可以根据以下理论公式简略求得:
电流平均值
(理论值)
压电扩音器(他励型)的充放电时间充分短于输入信号的1个周期长度时,压电扩音器(他励型)中流过的1/2周期间的电流平均值,可以根据以下公式求得:
 |
Q:压电扩音器中村储的电荷 T:驱动信号1个周期长度(=1/f)
C:压电扩音器静电容量 V:驱动电压 f:驱动信号频率 |
多种型号的消耗电流计算值
根据上述公式按型号计算的压电扩音器(他励型)的电流平均值如下表所示:
型号 |
消耗电流 [mA]
|
驱动频率 [kHz] |
静电容量 [nF] |
| 驱动电压(方波) |
| 3 Vo-p |
5 Vo-p |
12 Vo-p |
| PKMCS1818E2001-R1 |
0.4 |
0.7 |
1.7 |
2 |
35 |
| PKMCS1818E20A0-R1 |
0.4 |
0.7 |
1.7 |
2 |
35 |
| PKMCS0909E4000-R1 |
0.3 |
0.4 |
0.9 |
4 |
9 |
| PKLCS1212E4001-R1 |
0.5 |
0.8 |
1.9 |
4 |
19.5 |
| PKLCS1212E40A1-R1 |
0.5 |
0.8 |
1.9 |
4 |
19.5 |
| PKLCS1212E2000-R1 |
0.3 |
0.6 |
1.3 |
2 |
28 |
| PKLCS1212E20A0-R1 |
0.3 |
0.6 |
1.3 |
2 |
28 |
| PKLCS1212E2400-R1 |
0.4 |
0.7 |
1.6 |
2.4 |
28 |
| PKLCS1212E24A0-R1 |
0.4 |
0.7 |
1.6 |
2.4 |
28 |
| PKHPS0013E4000-A2 |
0.1 |
0.2 |
0.5 |
4 |
5.5 |
| PKM17EPP-2002-B0 |
0.4 |
0.7 |
1.6 |
2 |
34 |
| PKM22EPPH2001-B0 |
0.2 |
0.4 |
0.9 |
2 |
19 |
| PKM22EPPH2002-B0 |
0.2 |
0.4 |
0.9 |
2 |
19 |
| PKM22EPPH4001-B0 |
0.3 |
0.5 |
1.2 |
4 |
12 |
| PKM22EPPH4002-B0 |
0.3 |
0.5 |
1.2 |
4 |
12 |
| PKM22EPPH4005-B0 |
0.3 |
0.5 |
1.2 |
4 |
12 |
| PKM22EPPH4007-B0 |
0.3 |
0.5 |
1.2 |
4 |
12 |
| PKM22EPPH4012-B0 |
0.3 |
0.5 |
1.2 |
4 |
12 |
| PKM34EWH1101C |
0.3 |
0.4 |
1.1 |
1.1 |
40 |
| PKM34EWH1201C |
0.2 |
0.4 |
0.9 |
1.2 |
32 |
| PKM44EWH1001C |
0.4 |
0.7 |
1.6 |
1 |
68 |
* 静电容量为中心值,公差为±30%,PKMCS和PKLCS为参考值。