Select your region & language

Non-Isolated DC-DC converter moduleDC-DC Converter Loss Calculation

This article explains how to calculate the loss of each element used in a DC-DC converter.

DC-DC Converter Loss Calculation

Losses in DC-DC Converters

Losses in DC-DC converters that have a particularly large impact are as follows.

  1. Conduction loss in switches
  2. Switching loss in switches
  3. Loss due to coils (iron loss and copper loss)

There are several other losses, such as gate charge loss in FETs, operating loss in control ICs, and fixed loss due to ESR in capacitors.

Loss in Switch Elements

Losses in FET switches include conduction loss (Pon) and switching loss (Pr, Pf).

Image diagram

Conduction Loss in Switch Elements

Conduction loss in a switching element FET occurs when the FET is turned ON, and the formula is as follows.

Calculation Formula 5
Rds(ON)
Drain to source ON resistance [Ohm]
Iout
Load current [A]
D
Duty cycle

Using a FET with a smaller Rds(ON) will reduce conduction loss, but since Rds(ON) × Ciss (FET input capacitance) is generally constant for each FET generation, a smaller Rds(ON) will conversely increase Ciss, which affects switching loss as explained later.
Therefore, FETs should be selected with optimal characteristics according to the power supply specifications.

Image diagram Calculation Formula

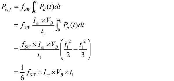
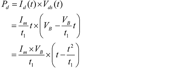
Switching Loss in Switch Elements

Assuming a linear increase in voltage and current, the following equation can be used to calculate the loss in a simplified manner.

Calculation Formula
Image diagram
Calculation Formula
Image diagram

Loss in Coils

Losses in coils include copper losses due to the winding and iron losses due to the core material.

Loss in coils
Copper loss
DC copper loss due to DC resistance of the winding and copper loss due to increased effective resistance due to the skin effect.
Iron loss
The main iron losses are hysteresis loss and eddy current loss. Hysteresis loss is the area corresponding to the B-H curve drawn by switching. Eddy current loss is the loss due to eddy currents generated in the iron core.

The DC loss (PLDCR) is proportional to the square of the load current.
The DC loss is low due to the small current at low load, but it increases greatly when the load current increases.

Calculation Formula

On the other hand, the AC components of the current flowing through the coil are determined by the input/output voltage and frequency.
Because of this, the amount of AC loss is not altered greatly by changes to the load current.
(Note that the calculation of AC losses is complex and is not covered here.)

Therefore, AC loss is dominant in low load density areas, and DC loss is dominant in high load density areas.